Penerimaan PPDS

Kriteria dan persyaratan calon peserta didik baru mengikuti persyaratan dari Universitas Sebelas Maret seperti yang tercantum dalam :

  • SK Rektor UNS Nomor: 7080/UN.27/PP/2015 tentang pengelolaan dan penyelenggaraan program pendidikan dokter.
  • SK Dekan No.664b/UN27.06/KP/2015 tentang penetapan persyaratan penerimaan peserta program PPDS IKA FK UNS.
  • Surat Keputusan Bersama Direktur RSUD dr. Moewardi (No. 188.4/13.893/2013) dan Dekan FK UNS (No.6064/UN27.06/2013) tentang pedoman program Pendidikan Dokter Spesialis.

 

Untuk pendaftaran administrasi, calon mahasiswa PPDS diwajibkan memiliki persyaratan :

  1. Copy Ijasah sarjana dan dokter
  2. Copy Transkrip nilai sarjana dan dokter
  3. Surat Tanda Registrasi (STR) yang masih berlaku.
  4. Surat keterangan / rekomendasi dari IDI
  5. Surat keterangan sehat
  6. Surat keterangan dari Kemenkes (peserta Tubel Kemenkes) atau surat izin dari BKD (bagi PNS daerah)
  7. Surat keterangan catatan kepolisian (SKCK)
  8. Surat keterangan PTT/internship (jika ada)
  9. Sertifikat prestasi/pendidikan (jika ada)
  10. Surat permohonan dari yang bersangkutan

 

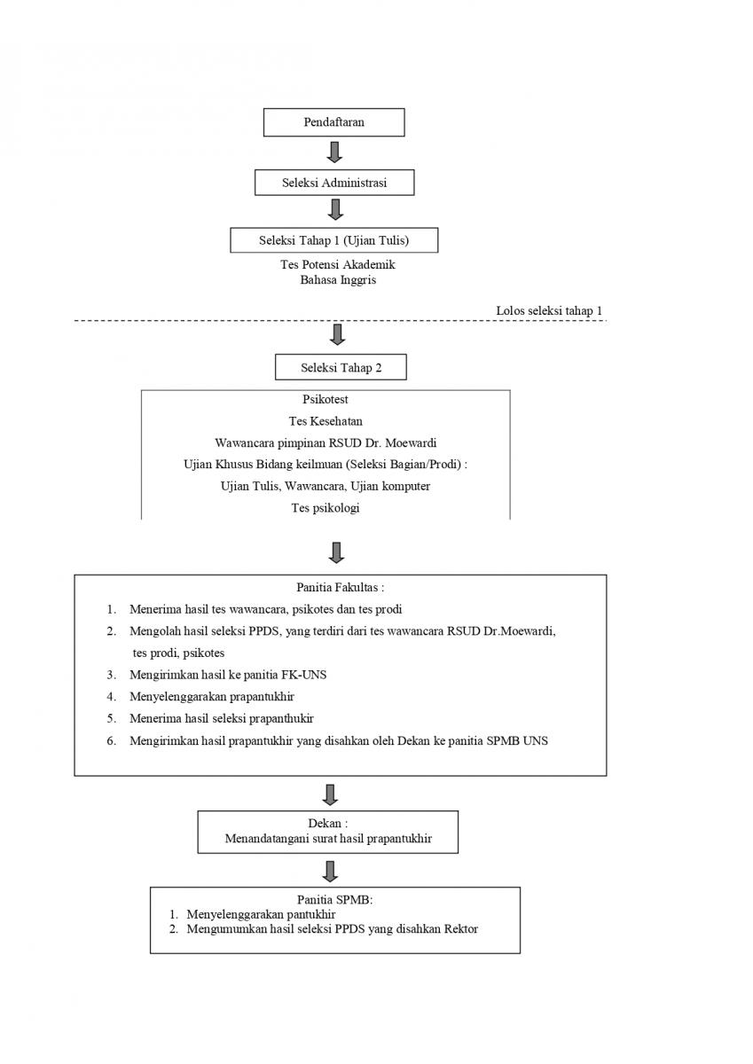
Penerimaan mahasiswa baru PPDS melalui 2 tahap. Tahap 1 meliputi tes tulis TPA dan Bahasa Inggris yang dikelola oleh Panitia SPMB setelah sebelumnya dilakukan verifikasi keabsahan persyaratan akademik dan administrastif. Tahap 2 diikuti oleh peserta yang lolos di tahap 1 dan dilakukan di tingkat Program Studi Dokter Spesialis Ilmu Kesehatan Anak melalui ujian khusus bidang keilmuan dan kompetensi, meliputi:

  • Penyelenggaraan ujian tulis
  • Penyelenggaraan wawancara
  • Penyelenggaraan ujian komputer
  • Penyelenggaraan tes psikologi